开源CAE Code_Saturne案例 | 压气机旋转失速现象的CFD仿真
2023年6月19日 14:28 Code_Saturne是法国电力集团自1997年起自主研发的一款通用计算流体力学开源软件。基于有限体积方法,支持多种类型网格,通过求解纳维-斯托克斯方程,用于处理二维、二维对称、三维,稳态或非稳态,层流或湍流,不可压或微可压流体,等温或非等温等多种计算问题。拥有多种不同的湍流模型,例如雷诺平均模型(Reynolds Average Navier-Stokes: RANS)与大涡模拟模型(Large Eddy Simulation: LES)。
软件涵盖多种工业应用物理模块:大气模拟、煤粉、重质燃料及生物质的燃烧模块、电弧与焦耳效应模块、颗粒追踪模块、流体机械转子-定子互动模块等。为适应工业界复杂的物理问题,该软件具备灵活的二次开发接口。其强大的并行计算能力,适用于超性能计算平台处理大规模计算问题。该软件在工业领域得到广泛的应用与认可。
什么是压气机的旋转失速问题?
旋转失速是沿压气机周向的非均匀流动状态。失速现象一般首先发生在叶轮处,当离心式或轴流式压缩机的操作工况发生变动时,气流会在叶片的凹面附近形成气流漩涡,气流漩涡的聚集会阻碍通道内的气流流通,减少通道内的有效流通面积,形成气流堵塞团,不但会使发动机性能(推力、经济性)大为恶化,限制发动机的工作范围,更严重的可能会引起发动机突然熄火,或引起压气机叶片剧烈振动以致叶片断裂而造成整台发动机的损坏。
压缩机中的旋转失速
失速现象可能对压缩机造成严重损害,因此预测在何种工况下会出现旋转失速的现象就显得十分有必要。在本次介绍的算例中,就使用法国电力(EDF)开发的开源通用计算流体力学(CFD)求解器 Code_Saturne进行数值模拟,并将仿真结果同实验测量数据以及FLUENT商业软件的仿真结果进行比较,证明了Code_Saturne进行可压缩流场仿真计算的可信性。
Code_Saturne仿真软件的优势
针对本算例计算的可压缩旋转气流流场的仿真模拟,Code_Saturne开源通用流体力学计算软件具有以下的优势:
所有代码全部开源算法透明,同时方便植入和尝试特殊模型和更加先进的求解算法。
有完善的GUI图形化人机交互操作界面
具备绝大多数常用的RANS,LES以及混合湍流模型
良好的大规模并行计算可扩展能力,65000核并行计算32亿网格量的算例依然具有很好的并行加速效果。
基于能源领域需求而开发的通用CFD软件,长期在工业领域应用并具有丰富的工业验证案例。
对簇状结构和涡轮机械涉及到的周期性网格和动网格与静网格耦合的支持良好
作为一款开源软件,Code_Saturne还提供了丰富的用户自定义函数的接口,满足不同仿真应用场景和案例的精细化设置, 用户还可以根据自己的需求对源代码进行修改,更加详细的Code_Saturne用户自定义函数的使用方法将在2021年1月份的Code_Saturne用户自定义函数使用专题培训中进行介绍。在本次算例中,就对软件中的可压缩流体模块进行了用户自定义的修改和优化,使其支持对旋转气流的仿真模拟精度更高。
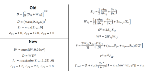
Code_Saturne中的可压缩算法和湍流模型的改进
压气机失速现象涉及到对旋转可压缩气流流场不稳定性的高精度的捕捉,针对本案例,对Code_Saturne内的可压缩流求解部分的源代码做出了以下的优化和改进。
Ø 对流项的离散格式增加至3阶
Ø 使用2阶Crank-Nicholson时间差分格式
Ø 植入并试验了由Čada和Torrilhon提出的3阶限制器
同时针对Code_Saturne中的k-ω SST湍流模型进行了旋转和曲率修正,使之更加适用于旋转气流仿真。
为了对改进后的k-ω SST湍流模型,在Code_Saturne中测试了旋转管流的经典验证算例,模拟绕轴向旋转的管道中的气流流场。
算例中流场对应的雷诺数(Re)为5800,测试不同罗斯贝数(Ro)下的模拟结果并同DNS仿真结果以及FLUENT商业流体力学软件的仿真结果进行比较,验证了改进后的k-ω SST湍流模型对于旋转流场湍流特征的捕捉精度。
改进湍流模型前后的速度分布结果的比较
改进湍流模型前后的湍流粘性分布结果的比较
NASA Rotor 67多级压气机风扇转子
NASA Rotor 67 是可压缩流体的经典验证案例之一,整个结构由22个风扇叶片组成,其设计工况为转速16043 rpm,流量为33.25kg/s。本计算案例采用y+平均值为35的网格量为230万的网格进行计算。计算使用 S-A湍流模和k-ω SST模型分别进行计算,并使用1阶时间差分格式和2阶MUSCL格式。
使用Code_Saturne仿真计算所得出的结果同公开的实验测量数据以及使用Fluent商业计算软件的仿真结果进行了对比,Code_Saturne和FLUENT的计算结果十分接近,且都与实验所得数据基本吻合。
总压力比和效率的Code_Saturne仿真结果,同实验数据和FLUENT仿真结果的比较
质量流量为34.28 kg/s时的马赫数云图和等高线Code_Saturne (CS) 和Fluent的结果对比
NASA CC3离心式压缩机的仿真
案例中模拟的NASA CC3离心式压缩机的设计运转工况为:
流量 |
4.536 kg/s |
转速 |
21789 rpm |
压气比 |
4:1 |
NASA CC3网格以及压力云图
压缩机结构由15个叶片和15个分流叶片组成,整个压缩机分别使用平均y+值为30的2180万网格量的网格,和平均y+值为5的7000万网格量的两套网格进行了仿真模拟。模拟使用改进的 k-ω SST 湍流模型,1阶时间差分格式 和2阶 MUSCL格式。
使用Code_Saturne仿真计算所得出的数据与使用Fluent进行模拟的结果相比十分接近,同时也更为接近实验数据。
通过观察在轴面上的速度云图,也可以在叶轮与扩压器之间捕捉到旋转失速的现象,在叶轮和扩压器中发现了四个脱流点,叶轮中脱流点处的速度是叶轮中旋转速度的0.0587倍。还可以观察到压力扰动向上移动至叶轮的入口,同时高速气流团向下游的的扩散器移动。
3.9kg/s 流量下(距轮毂70%范围)的轴面速度
经过改进后的Code_Saturne算法采用了更高阶的离散格式,可以准确地预测到离心式压缩机中所产生的失速现象,仿真结果同Fluent模拟结果相比十分接近,且更符合实验数据。如果想要得到更加精确的仿真结果,可以采用更加精细的网格或者LES湍流模型。但是由于压缩机中气流流场的速度较大,需要的计算资源也会更多。
*本文内容来自于法国电力研究院举办的Code_Saturne用户大会(User Club),作者Andrew Heffro及其相关研究成果来自于伦敦玛丽女王大学*
文章来源:远算云学院
工程师必备
- 项目客服
- 培训客服
- 平台客服
TOP




















