关于LS-DYNA爆炸分析清单
引言
爆炸分析概述
LS-DYNA软件当初主要应用于求解一维非弹性结构在高速碰撞、爆炸冲击下的大变形动力响应,是北约组织武器结构设计的分析工具,现在广泛应用于国防军工企业
炸药爆炸时间非常短暂,并在瞬间产生强大的冲击波,从而对周围的物体进行冲击导致破坏。LS-DYNA提供高能炸药材料模型和齐种炸药的状态方程,能够准确的模拟整个冲击波的传播过程和结构的瞬态响应过程。
1、LS-DYNA爆炸分析的方法
Lagrange方法
即采用Lagrange方法来描述炸药材料及’,它发生相互作用的物质材判,如土壤炸坑武器战斗部设计等分析,此算法优点在于可以得到清晰的物质界面。炸药和结构之间的相互
作用通过定义接触关系来实现,一般采用滑动接触来处理接触关系。该方法的不足就是炸药单元在爆炸过程中会发生严重的畸变。
采用流固耦合计算思想
即使用前面所述的流固藕合算法来描述爆炸过程。此时对炸药及其它流体材料采用Euler算法,对其他的结构采用Lagrange算法,然后通过流固藕合方式来处理相互作用该方法的优点是炸药和流体材料在Euler单元内流动,部存在单元的畸变问题,并通过流固耦合方式来处理相互作用,能方便的建立爆炸模型(流固分开建立),缺点是不能清晰的捕捉物质界面
2、爆炸分析所涉及到的关键字
1)材料模型
*MAT_HIGH_EXPLOSIVE_BURN(炸药材料)
*MAT_ NULL(空气、水等材料)
*MAT_ OPTION(其它结构材料)
炸药的状态方程
*EOS JWL(各种炸药)
*EOS_IGNITION_AND_GROWTH_OF_REACTION_ IN_HE(推进剂燃烧)
*EOS JWLB(各种炸药)
流体材料的状态方程
*EOS_LINEAR_POLYNOMIAL(空气)
*EOS_GRUNEISEN(水、油等)
2)接触类型(用于拉格朗日方程)
*CONTACT_2D_SLIDNG_ONLY(轴对称问题,平面应力应变问题)
*CONTACT_SLIDING_ONLY(三维问题)
多物质材料
*ALE_MULTI_MATERIAL_GROUP
*ALE_REFERENCE_SYSTEM_GROUP
*ALE_REFERENCE_SYSTEM_NODE
*ALE_REFERENCE_SYSTEM_CURVE
*ALE_REFERENCE_SYSTEM_SWITCH
流固耦合
*CONSTRAINED_LAGRANGE_IN_SOLID
ALE算法选项控制
*CONTROL_ALE
*ALE_SMOOTHING
3)MID-材料号
RO-质量密度
D-爆炸速度
PCJ-Chapman-Jouget压力
.jpg)
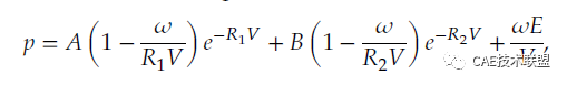
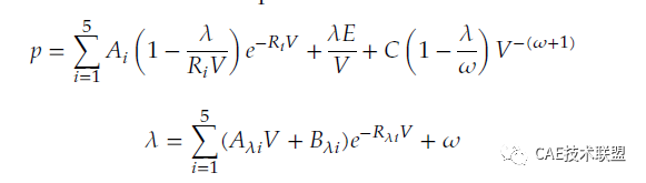
4)在一致单位系统中,压力的单位为Mbar
.jpg)
.jpg)
.jpg)
.jpg)
来源:CAE技术联盟
工程师必备
- 项目客服
- 培训客服
- 平台客服
TOP




















